health | March 13, 2026

Which of the following is not an isomer of isobutyraldehyde?


The molecular formula of 2-Butanol is C4H10O. The structure of is 2-Butanol given as follows: The molecular formula of 2-butanol is not the same as that of butanalbutanal Butyraldehyde, also known as butanal, is an organic compound with the formula CH3(CH2)2CHO. This compound is the aldehyde derivative of butane. It is a colourless flammable liquid with an unpleasant smell. It is miscible with most organic solvents. › wiki › Butyraldehyde

Butyraldehyde - Wikipedia

, therefore, it is not an isomer of butanal.

Which is not isomer?

Isomers are molecules that have the same molecular formula, but have a different arrangement of the atoms in space. That excludes any different arrangements which are simply due to the molecule rotating as a whole, or rotating about particular bonds. ... They are not isomers. Both are butane.

What are the isomers of Butanal?

There are only two isomers, and they are 1-butanal and 2-methylpropanal.
  • "3-methylpropanal" is identical to 1-butanal.
  • "2-butanone" is not an aldehyde anymore, but a ketone.

Is ch3ch2ch2cho an isomer of ch3ch2ch2ch2oh?

Alcohols have a small polarity due to the electronegativity of the oxygen, which allows them to interact with other polar molecules including water and other solutes. So, now according to the given question, None of the given compounds is an isomer of $ C{H_3}C{H_2}C{H_2}C{H_2}OH $ .

Which is not an isomer of hexane?

Explanation: All the molecules have the formula C6H14 . However, B is not an isomer of hexane. ... All isomers of one compound must have the same chemical formula.

Which of the following is not an isomer of butanal?

36 related questions found

What are the 5 isomers of hexane?

- From the above structures we can say that there are five isomers possible for hexane. - The five isomers possible for hexane are n- hexane, 2- methyl pentane, 3- methyl pentane, 2, 3-dimethylbutane and 2, 2- dimethylbutane. - 2- methyl pentane is also called Isohexane. - 2, 2- dimethyl butane also called Neohexane.

Is cyclohexane an isomer of hexane?

no cyclohexane is not a structural isomer of hexane. cyclohexane has a ring like structure whose molecular formula is C6H12. as we know that isomers are those whose molecular formula is same but structural formula is different. hexane has molecular formula C6H14.

Which of the following does not exhibit geometric isomerism?

An option (D) compound is given and it doesn't show geometrical isomerism because they have the same groups attached to the one of the double bonded carbon atoms. So, it is not able to show cis & trans isomer. Therefore option A, B and D do not exhibit geometrical isomerism (Cis-trans).

Which of the following hydrocarbons does not have isomers?

C7H16.

What is a functional isomer of butanal?

Aldehyde is the functional isomer of Butanal.

What are the isomers of c4h8o?

There are in total 8 isomers possible from c4h8o which include aldehyde, ketone, alcohol and ether.
  • Butanal HCOCH2CH2CH2CH3 (aldehyde)
  • 2-Butanone (methyl ethyl ketone) CH3COCH2CH3 (ketone)
  • cyclobutanol (ring compound) —CH2CHOHCH2CH2—
  • 1,2-epoxy butane (epoxide) CH2OCHCH2CH3.
  • cis-2,3 epoxy butane.
  • trans-2,3 epoxy butane.

Which of the following is not an isomer of 1 Butyne?

But -2- ene.

Which compound is not isomer?

-In option (A) Butanone is given, structurally which is shown as CH3 - CH2 - CO - CH3. Its molecular formula is C4H8Owhich is totally different from the molecular formula of diethyl ether i.e. C4H10O. So, butanone is not isomeric with diethyl ether.

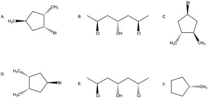
Which compound is not isomer of other?

Isomers are compounds having the same molecular formula but different structure. The compounds A, B, and C have the same molecular formula (C8H14) while the molecular formula for compound D is C8H12. Hence D is the correct answer.

Is pentane a structural isomer?

Pentane has three structural isomers that are n-pentane, Iso-pentane (methyl butane) and neopentane (dimethylpropane). Therefore three structural isomers can be drawn from pentane.

What is CH3 CH2 CH2 CH2?

☛ Combining both, the name of the compound turns out to be, propan-1-ol or simply propanol.

What is CH2 and CH3?

CH2-CH2-CH3. There are three branches attached to the parent chain. Two of these are methyl groups and one is an ethyl group. Number the carbon atoms, so that the groups are attached to the carbon atoms with the lowest possible numbers.

Which of the following does not exhibit geometric isomerism Mcq?

5. Which among the following does not exhibit geometric isomerism? Explanation: Alkenes like 1-hexene when flipped from top to bottom they have identical structures and also they have C=CH2 unit which does not exist as cis-trans isomers.

Which of the following alkene does not exhibit geometrical isomerism?

2-butene may exist as cis and trans isomers. This is not a geometrical isomerism.

Does 3 hexene show geometrical isomerism?

The above isomers are basically geometrical isomers of 3 hexene. One is trans isomer whereas the other is isomer. Trans isomer is the one in which the two x-atoms are on the same side.

Are hexene and cyclohexane isotopes?

Isotopes are the atoms which have same physical properties, but different chemical structure. ... As seen from the above atomic number hexene has twelve hydrogen atoms whereas, cyclohexane has eleven hydrogen atoms. Therefore, they are not isomers.

Why is hexane an isomer?

The "hex" prefix refers to its six carbons, while the "ane" ending indicates that its carbons are connected by single bonds. Hexane isomers are largely unreactive, and are frequently used as an inert solvent in organic reactions because they are very non-polar.