technology | March 17, 2026

Are cephalosporins beta lactam?


Beta-lactam antibiotics include penicillins, cephalosporins and related compounds. As a group, these drugs are active against many gram-positive, gram-negative and anaerobic organisms.

Which antibiotics are beta-lactam?

β-lactam antibiotics, including penicillins and cephalosporins, inhibit platelet aggregation responses, and some can induce a bleeding diathesis when given in high doses. These include carbenicillin, penicillin G, ticarcillin, ampicillin, nafcillin, cloxacillin, mezlocillin, oxacillin, and piperacillin.

Are all cephalosporins beta lactamase resistant?

The cephalosporins were highly active against bacteria producing broad-spectrum β-lactamases; they were less active against organisms producing cephalosporinases. All of the cephalosporinase-producing strains were resistant to cephalothin and cephaloridine.

What antibiotics are not beta lactams?

One common alternative to penicillins is a non-β-lactam antibiotic called vancomycin (Vancocin), which was originally approved for use in 1958. After its initial introduction it was superseded by the β-lactams that provided a cheaper and less toxic alternative to treat bacterial infections.

Are cephalosporins inactivated by beta lactamase?

Marker/Reporter Enzymes

β-Lactamase converts penicillin (or cephalosporin) [S] to the biologically inactive penicilloic (or cephalosporoic) acid [P] via an acyl-enzyme intermediate (E-acyl) (Scheme 8.2).

ß-Lactams: Mechanisms of Action and Resistance

17 related questions found

Are cephalosporins bacteriostatic or bactericidal?

Bacteria synthesize a cell wall that is strengthened by cross-linking peptidoglycan units via penicillin-binding proteins (PBP, peptidoglycan transpeptidase). Initially derived from the fungus Cephalosporium sp., cephalosporins are a large group of bactericidal antimicrobials that work via their beta-lactam rings.

What is the difference between beta-lactam and cephalosporin?

The mechanism of action of cephalosporins is the same as penicillins in that they interfere with bacterial cell wall synthesis. They are classified according to the chronological order in which they were produce. Beta-lactamase inhibitors block the activity of beta-lactamase enzymes.

Is erythromycin A beta-lactam?

Beta-lactam antibiotics, the tetracyclines, chloramphenicol, erythromycin, clindamycin, metronidazole, and the quinolones.

Is amoxicillin a beta-lactam?

Amoxicillin is a beta-lactam antibiotic active against gram-positive cocci, including nonpenicillin resistant streptococcal, staphylococcal, and enterococcal species.

Is beta-lactam and beta lactamase the same?

Beta-lactamase provides antibiotic resistance by breaking the antibiotics' structure. These antibiotics all have a common element in their molecular structure: a four-atom ring known as a β-lactam.

Is cefotaxime a beta-lactam?

Cefotaxime (CTX) is a beta-lactam antibiotic classified as a third-generation cephalosporin.

Are cephalosporins broad spectrum?

What are cephalosporins used for? Cephalosporins are broad-spectrum antibiotics. This means they have a broad spectrum of activity and can treat a variety of bacterial infections.

Is Penicillin a beta-lactam?

Beta-lactam antibiotics include penicillins, cephalosporins and related compounds. As a group, these drugs are active against many gram-positive, gram-negative and anaerobic organisms.

Is zosyn a beta-lactam?

Piperacillin-tazobactam is a beta-lactam/beta-lactamase inhibitor combination with a broad spectrum of antibacterial activity that includes Gram-positive and -negative aerobic and anaerobic bacteria.

Is ceftriaxone a beta-lactam?

Ceftriaxone (CEF) is a third generation cephalosporin, under the group of β-lactam antibiotics, and is the most frequently used drug for local (skin and soft tissue infections) as well as systemic community and hospital-acquired infections (Pinto Pereira et al., 2004).

Is azithromycin a macrolide?

Azithromycin and clarithromycin are derivatives of the older macrolide antibiotic erythromycin. They are used in the treatment of a variety of infections, including community-acquired respiratory tract infections and mycobacterial infections.

Is ampicillin a beta-lactam?

β-Lactam Group of Antimicrobials

β-Lactam antibiotics include penicillins, oxacillin, amoxicillin, ampicillin, carbpenicillin, and others.

What are methicillin antibiotics?

Methicillin: A semisynthetic penicillin-related antibiotic, also known as Staphcillin, that once was effective against staphylococci (staph) resistant to penicillin because they produce the enzyme penicillinase. Rarely used now, methicillin has been largely superceded by Vancomycin.

What drug is a fluoroquinolone?

Fluoroquinolones are a class of antibiotics approved to treat or prevent certain bacterial infections. The fluoroquinolone antibiotics include ciprofloxacin (Cipro), gemifloxacin (Factive), levofloxacin (Levaquin), moxifloxacin (Avelox), and ofloxacin (Floxin).

Which are macrolide antibiotics?

Macrolides are a class of antibiotic that includes erythromycin, roxithromycin, azithromycin and clarithromycin. They are useful in treating respiratory, skin, soft tissue, sexually transmitted, H. pylori and atypical mycobacterial infections.

What is the difference between penicillins and cephalosporins?

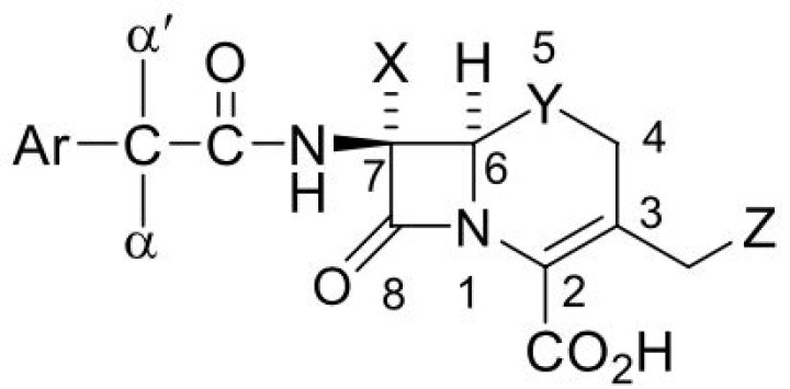
Cephalosporins are related to the structure and antimicrobial activity of penicillins. Both groups of antibiotics possess the core four-membered β-lactam ring. The β-lactam ring in penicillins is connected to a five-membered thiazolidine ring, or penam, and the side chain, R, differentiates the different penicillins.

Is imipenem a carbapenem?

Imipenem/cilastatin is the first of a new class of beta-lactam antibiotics called carbapenems. The antibacterial spectrum of imipenem exceeds any antibiotic investigated to date and includes gram-positive, gram-negative, and anaerobic organisms.

Are beta lactams broad spectrum?

Broad-spectrum penicillins include the β-lactam/β-lactam-inhibitor combinations piperacillin-tazobactam, ticarcillin-clavulanate, and ampicillin-sulbactam.

Are penicillins bactericidal or bacteriostatic?

Penicillins are bactericidal beta-lactam antibiotics that inhibit bacterial cell wall synthesis. A natural product, the penicillin structure has been modified to prepare a variety of semi-synthetic agents.